الصفحة الرئيسية الكتب فيديوات فضاء الأستاذ الجديد
  • Acceuil
  • Bac Informatique
  • Series exercices Bac Informatique
  • Series exercices corrigés math

Bac Informatique

Series d'exercices Corrigés math

Calcul integral 4

Calcul integral 4

lire télécharger

Calcul integral 3

Calcul integral 3

lire télécharger

Calcul integral 2

Calcul integral 2

lire télécharger

Calcul integral 1

Calcul integral 1

lire télécharger

Calcul integral

Calcul integral

lire télécharger

Calcul d

Calcul d'integral 2

lire télécharger

Calcul d

Calcul d'integral

lire télécharger

Serie 19 primitives + etude de fonctions

Serie 19 primitives + etude de fonctions

lire télécharger

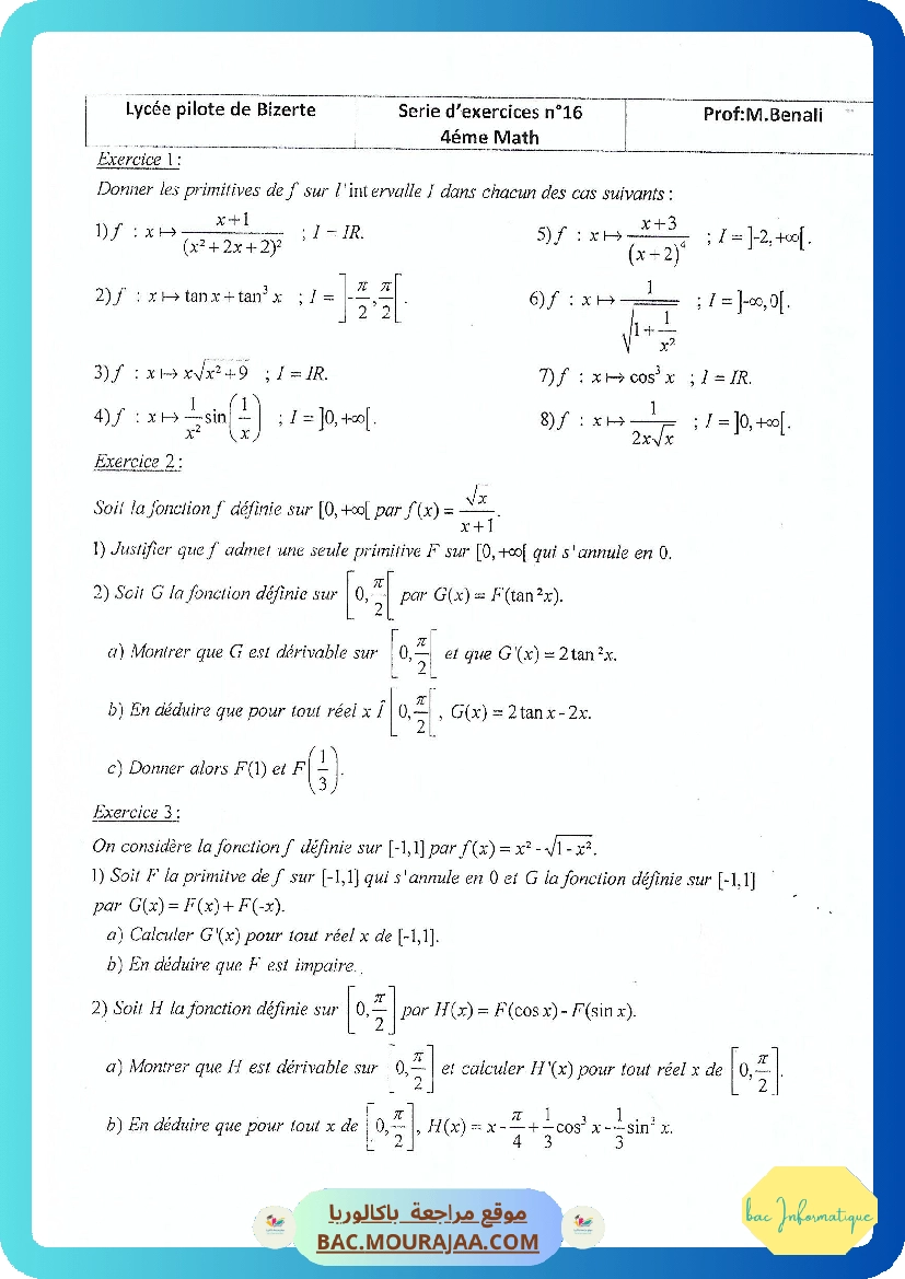
Serie 16 Primitives

Serie 16 Primitives

lire télécharger

  • 1
  • 2
  • 3
  • 4
  • 5
  • 6
  • 7
  • 8
  • 9
  • 10
  • 11
  • 12
  • 13
  • 14
  • 15
  • 16
  • 17
  • 18
  • 19
  • 20
  • 21
  • 22
  • 23
  • 24
  • 25
  • 26
  • 27
  • 28
  • 29
  • 30
  • 31
  • 32
  • 33
  • 34
  • 35
  • 36
  • 37
  • 38
  • 39
  • 40
  • 41
  • 42
  • 43
  • 44
  • 45
  • 46
  • 47
  • 48
  • 49
  • 50
  • 51
  • 52
  • 53
  • 54
  • 55
  • 56
  • 57
  • 58
  • 59
  • 60
  • 61
  • 62
  • 63
  • 64
  • 65
  • 66
  • 67
  • 68
  • 69
  • 70
  • 71
  • 72

Bac.mourajaa.com Nous Somme !

Le site bac.mourajaa.com est une plateforme éducative tunisienne
qui propose divers services pour les élèves de niveau baccalauréat.
Ce site représente une ressource précieuse pour
les élèves tunisiens souhaitant réussir leur baccalauréat
en ayant accès à des supports variés et adaptés.
page Nous Somme

Révision Bac Compléte pour Concour

  • Révision Bac

  • Parascolaire Bac à Télécharger

  • Sujets Bac Corrigés

Liste des matiére scientifique

  • Math
  • Physique
  • Science exprimentale
  • Informatique
  • Economie
  • Gestion
  • Base de donnee
  • Algorithme

Liste des matiére Littéraire

  • Francais
  • Anglais
  • Arabe
  • Philosophie
  • Pensée Islamique
  • histoire_geo

اتصل بنا

espace Informatique inc
تونس
تونس
contact@mourajaa.com

صفحة الاتصال

صفحة سياسة الخصوصية

صفحة سياسة الخصوصية

© 2024 Espace-informatique ALL rights reserve

theme by: Hor_I