الصفحة الرئيسية الكتب فيديوات فضاء الأستاذ الجديد

serie suites-pilote-signed

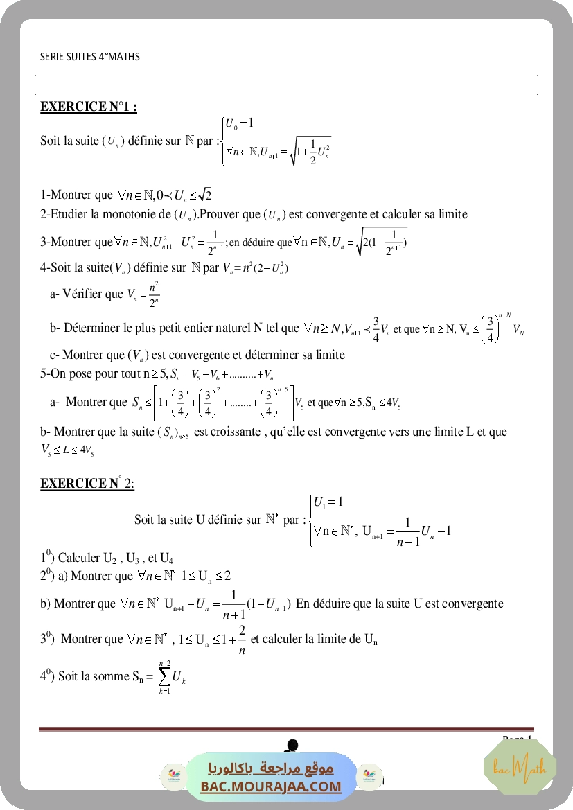
Serie_complex_3
Serie_complex_3
Serie_complex_3
Serie_complex_3
Serie_complex_3
Serie_complex_3
Serie_complex_3
Serie_complex_3
Serie_complex_3
Serie_complex_3
Serie_complex_3
Serie_complex_3
Serie_complex_3
Serie_complex_3
Serie_complex_3
Serie_complex_3
Serie_complex_3
Serie_complex_3
Serie_complex_3
Serie_complex_3
Serie_complex_3
Télécharger pdf

Bac.mourajaa.com Nous Somme !

Le site bac.mourajaa.com est une plateforme éducative tunisienne
qui propose divers services pour les élèves de niveau baccalauréat.
Ce site représente une ressource précieuse pour
les élèves tunisiens souhaitant réussir leur baccalauréat
en ayant accès à des supports variés et adaptés.
page Nous Somme

Révision Bac Compléte pour Concour

  • Révision Bac

  • Parascolaire Bac à Télécharger

  • Sujets Bac Corrigés

Liste des matiére scientifique

  • Math
  • Physique
  • Science exprimentale
  • Informatique
  • Economie
  • Gestion
  • Base de donnee
  • Algorithme

Liste des matiére Littéraire

  • Francais
  • Anglais
  • Arabe
  • Philosophie
  • Pensée Islamique
  • histoire_geo

اتصل بنا

espace Informatique inc
تونس
تونس
contact@mourajaa.com

صفحة الاتصال

صفحة سياسة الخصوصية

صفحة سياسة الخصوصية

© 2024 Espace-informatique ALL rights reserve

theme by: Hor_I